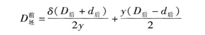
根據金屬體積不變的原則,假定鍛件輾擴前后環的高度不變,在給定鍛造比后,即可求出坯料的尺寸,即

式中:D(錢坯)為擴孔前毛坯的外徑,mm;δ為燒損系數,鋁合金一般無燒損,δ取為1;y為鍛造比。
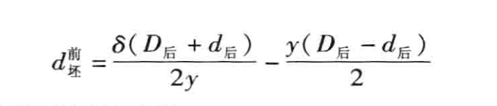
假定擴孔前后鍛件的高度不變,則:

式中:D后為擴孔后成品環的外徑,mm;d后為擴孔后成品環的內徑,mm。

式中:d前坯為擴孔前毛坯的內徑,mm。
采用一般開式模膛和閉式模膛進行輾擴時,對于大型鍛件,y值可選取1.3-1.6;對于小型鍛件,y值可選取1.25-1.35。
注意:鍛件輾環的外徑D后和內徑d后應加上正公差計算。





